Page 11 - NGW-L減速機(jī)樣本|NGW-S行星齒輪減速機(jī)手冊|NGW系列減速機(jī)手冊
P. 11
1000 71 100 138 196 277 366 546 746 1036 1465 2071 2740
1500 68 95 132 187 261 345 509 712 987 1394 1982 2610
750 62 87 121 171 249 336 489 671 934 1315 1906 2510
10 8 1000 61 86 120 169 246 323 470 660 917 1261 1796 2415
1500 60 84 114 160 233 306 444 613 849 1193 1709 2300
750 50 68 94 137 187 283 392 533 739 1064 1439 2182
11 9 1000 49 67 93 135 185 280 377 517 716 1047 1349 2071
1500 48 66 91 130 177 268 355 482 666 952 1250 1967
750 43 61 85 119 169 243 340 480 668 938 1270 1901
12 10 1000 43 60 84 118 167 240 336 460 639 896 1223 1813
1500 42 59 82 115 158 227 316 433 600 840 1137 1702
750 36 51 73 100 142 214 297 401 566 790 1157 1611
13 11.2 1000 36 50 72 99 140 211 293 395 539 752 1124 1519
1500 35 49 70 97 137 198 265 371 504 701 1004 1425
750 32 45 61 90 128 191 255 358 482 710 910 1292
14 12.5 1000 32 45 60 89 127 188 252 353 475 674 862 1266
1500 32 45 59 87 124 176 237 332 446 621 796 1132
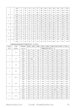
雙 級 減 速 器 低 速 軸 許 用 輸 出 扭 矩 ( 見 下 表 )
傳 動 比 公 稱 型 號 扭 矩 NGW42 NGW52 NGW62 NGW72 NGW82 NGW92 NGW102 NGW112 NGW122
代 號 傳 動 比 n 轉(zhuǎn) /分 許 用 輸 出 扭 矩 MH(Kgf· m)
750 297 434 603 840 1157 1657 2359 3440 4740
1 14 1000 295 431 587 832 1148 1643 2332 3376 4649
1500 266 398 576 828 1118 1597 2270 3280 4511
750 297 435 605 841 1160 1655 2367 3451 4766
2 16 1000 296 432 589 837 1152 1649 2341 3422 4672
1500 279 427 579 829 1135 1608 2278 3332 4534
750 298 435 597 844 1163 1667 2367 3462 4790
3 18 1000 296 434 592 844 1156 1655 2350 3435 4730
1500 293 429 582 834 1141 1597 2296 3321 4546
750 298 436 597 844 1166 1667 2376 3469 4785
4 20 1000 297 434 592 844 1159 1660 2359 3445 4750
1500 294 430 587 839 1145 1632 2305 3369 4640
750 299 437 597 844 1168 1675 2383 3477 4800
5 22.4 1000 298 435 597 844 1162 1667 2359 3453 4760
1500 295 431 587 834 1150 1643 2341 3415 4660
750 299 437 597 844 1170 1675 2385 3483 4810
6 25 1000 298 436 597 844 1164 1669 2376 3465 4780
1500 296 433 592 844 1154 1651 2350 3428 4710
750 299 438 602 849 1172 1675 2392 3490 4820
7 28 1000 299 437 597 844 1167 1673 2376 3468 4800
1500 297 433 597 844 1157 1662 2359 3440 4740
750 300 438 602 849 1173 1683 2392 3495 4830
8 31.5 1000 299 437 597 849 1169 1675 2383 3481 4800
1500 297 435 592 844 1160 1661 2367 3451 4750
m.eghtebas.com E-mail:China@GeLuFu.Com 10

